1. 信息的基本概念
现代科学三论:系统论、控制论、信息论。
本体论&认识论,二者相通,可以相互转换。
2. 信息的定量描述
,H(x)表示x的信息熵,pi是事件出现第i种状态的概念,单位为比特(bit)。
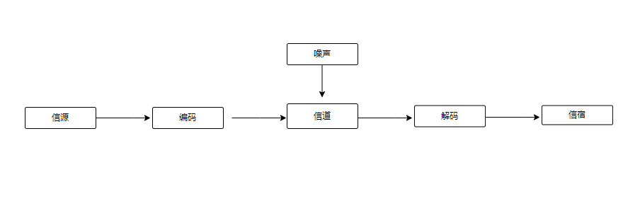
3. 信息的传输模型

信息传输模型图
信息系统主要性能指标:有效性和可靠性;
有效性是尽可能更多的信息;可靠性强调信息的收发一致性减少失真;
恰当的适量冗余码是提高可靠性的重要措施。
4. 信息的质量属性
精确性、完整性、可靠性、及时性、经济性、可验证性、安全性。
微信扫一扫,领取最新备考资料